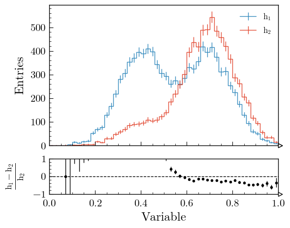
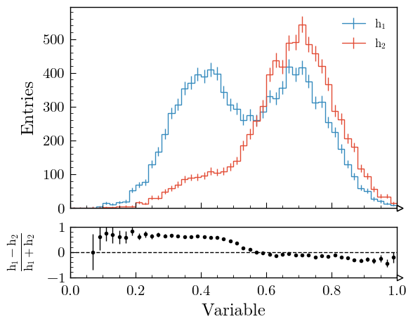
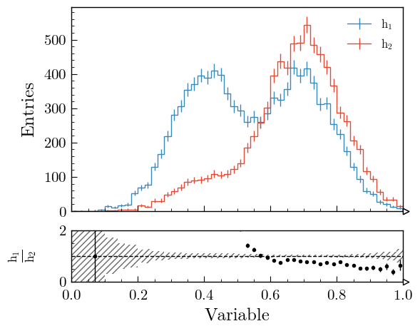
Gallery¤ 1D Histogram Comparisons¤ Asymmetry comparison Difference comparison Efficiency comparison Only efficiency comparison Pull comparison Ratio comparison Relative difference comparison Split ratio comparison Model Comparisons¤ Model all comparisons Model all comparisons no model uncertainty Model examples pull Model examples pull no model uncertainty Model examples stacked Model examples stacked unstacked Model examples unstacked Model with stacked and unstacked function components Model with stacked and unstacked histograms components Ratio data vs model with stacked and unstacked function components