Filter LHE Events
import gzip
import hist
from skhep_testdata import data_path
import pylhe
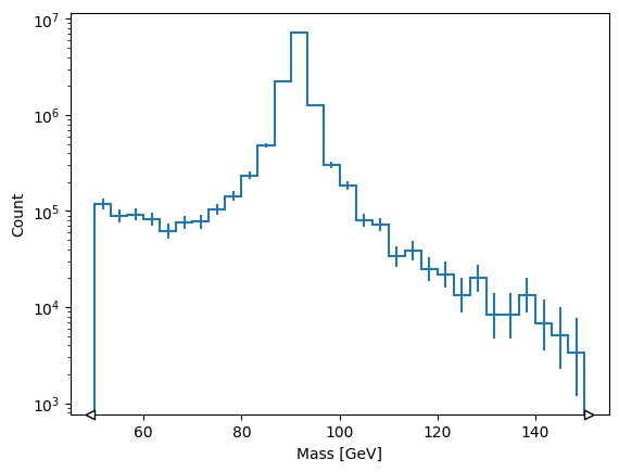
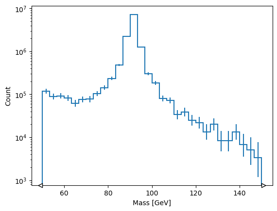
def plot(data):
lheevents = pylhe.read_lhe_file(data).events
events = pylhe.to_awkward(lheevents)
mass_hist = hist.Hist.new.Reg(30, 50, 150).Weight()
mass_hist.fill(
(events.particles.vector[:, -1] + events.particles.vector[:, -2]).mass,
weight=events.eventinfo.weight,
)
artists = mass_hist.plot()
ax = artists[0].stairs.axes
ax.set_yscale("log")
ax.set_xlabel("Mass [GeV]")
ax.set_ylabel("Count")
lhe_data = data_path("pylhe-drell-yan-ll-lhe.gz")
with gzip.open(lhe_data) as f:
for _ in range(100):
print(f.readline())
b'<LesHouchesEvents version="3.0">\n'
b'<header>\n'
b'<!--\n'
b'#*********************************************************************\n'
b'# *\n'
b'# MadGraph5_aMC@NLO *\n'
b'# *\n'
b'# Going Beyond *\n'
b'# *\n'
b'# http://madgraph.hep.uiuc.edu *\n'
b'# http://madgraph.phys.ucl.ac.be *\n'
b'# http://amcatnlo.cern.ch *\n'
b'# *\n'
b'# The MadGraph5_aMC@NLO team *\n'
b'# *\n'
b'#....................................................................*\n'
b'# *\n'
b'# This file contains all the information necessary to reproduce *\n'
b'# the events generated: *\n'
b'# *\n'
b'# 1. software version *\n'
b'# 2. proc_card : code generation info including model *\n'
b'# 3. param_card : model primary parameters in the LH format *\n'
b'# 4. run_card : running parameters (collider and cuts) *\n'
b'# 5. pythia_card : present only if pythia has been run *\n'
b'# 6. pgs_card : present only if pgs has been run *\n'
b'# 7. delphes_cards : present only if delphes has been run *\n'
b'# *\n'
b'# *\n'
b'#*********************************************************************\n'
b'-->\n'
b'<MGVersion>\n'
b'3.1.0\n'
b'</MGVersion>\n'
b'<MG5ProcCard>\n'
b'<![CDATA[\n'
b'#************************************************************\n'
b'#* MadGraph5_aMC@NLO *\n'
b'#* *\n'
b'#* * * *\n'
b'#* * * * * *\n'
b'#* * * * * 5 * * * * *\n'
b'#* * * * * *\n'
b'#* * * *\n'
b'#* *\n'
b'#* *\n'
b'#* VERSION 3.1.0 2021-03-30 *\n'
b'#* *\n'
b'#* The MadGraph5_aMC@NLO Development Team - Find us at *\n'
b'#* https://server06.fynu.ucl.ac.be/projects/madgraph *\n'
b'#* *\n'
b'#************************************************************\n'
b'#* *\n'
b'#* Command File for MadGraph5_aMC@NLO *\n'
b'#* *\n'
b'#* run as ./bin/mg5_aMC filename *\n'
b'#* *\n'
b'#************************************************************\n'
b'set group_subprocesses Auto\n'
b'set ignore_six_quark_processes False\n'
b'set low_mem_multicore_nlo_generation False\n'
b'set complex_mass_scheme False\n'
b'set include_lepton_initiated_processes False\n'
b'set gauge unitary\n'
b'set loop_optimized_output True\n'
b'set loop_color_flows False\n'
b'set max_npoint_for_channel 0\n'
b'set default_unset_couplings 99\n'
b'set max_t_for_channel 99\n'
b'set zerowidth_tchannel True\n'
b'set nlo_mixed_expansion True\n'
b'generate p p > l+ l-\n'
b'define p = g u c d s u~ c~ d~ s~\n'
b'define j = g u c d s u~ c~ d~ s~\n'
b'define l+ = e+ mu+\n'
b'define l- = e- mu-\n'
b'define vl = ve vm vt\n'
b'define vl~ = ve~ vm~ vt~\n'
b'output drell-yan_output\n'
b']]>\n'
b'</MG5ProcCard>\n'
b'<MGProcCard>\n'
b'#*********************************************************************\n'
b'# MadGraph/MadEvent *\n'
b'# http://madgraph.hep.uiuc.edu *\n'
b'# *\n'
b'# proc_card.dat *\n'
b'#*********************************************************************\n'
b'# *\n'
b'# This Files is generated by MADGRAPH 5 *\n'
b'# *\n'
b'# WARNING: This Files is generated for MADEVENT (compatibility issue)*\n'
b'# This files is NOT a valid MG4 proc_card.dat *\n'
b'# Running this in MG4 will NEVER reproduce the result of MG5*\n'
b'# *\n'
b'#*********************************************************************\n'
b'#*********************************************************************\n'
b'# Process(es) requested : mg2 input *\n'
b'#*********************************************************************\n'
b'# Begin PROCESS # This is TAG. Do not modify this line\n'
lhe_file = pylhe.read_lhe_file(lhe_data)
print(
pylhe.write_lhe_string(
lhe_file.init, [lhe_file.events.__next__() for i in range(5)]
)
)
<LesHouchesEvents version="3.0">
<init>
2212 2212 6.5000000e+03 6.5000000e+03 0 0 247000 247000 -4 1
1.6782100e+03 5.1789220e+00 1.6782100e+03 1
<initrwgt>
<weightgroup name="Central scale variation" combine="envelope">
<weight id="1" MUR="0.5" MUF="0.5" PDF="247000">MUR=0.5 MUF=0.5</weight>
<weight id="2" MUR="0.5" MUF="0.5" DYN_SCALE="1" PDF="247000">MUR=0.5 MUF=0.5 dyn_scale_choice=sum pt</weight>
<weight id="3" MUR="0.5" MUF="0.5" DYN_SCALE="2" PDF="247000">MUR=0.5 MUF=0.5 dyn_scale_choice=HT</weight>
<weight id="4" MUR="0.5" MUF="0.5" DYN_SCALE="3" PDF="247000">MUR=0.5 MUF=0.5 dyn_scale_choice=HT/2</weight>
<weight id="5" MUR="0.5" MUF="0.5" DYN_SCALE="4" PDF="247000">MUR=0.5 MUF=0.5 dyn_scale_choice=sqrts</weight>
<weight id="6" MUR="0.5" MUF="1.0" PDF="247000">MUR=0.5</weight>
<weight id="7" MUR="0.5" MUF="1.0" DYN_SCALE="1" PDF="247000">MUR=0.5 dyn_scale_choice=sum pt</weight>
<weight id="8" MUR="0.5" MUF="1.0" DYN_SCALE="2" PDF="247000">MUR=0.5 dyn_scale_choice=HT</weight>
<weight id="9" MUR="0.5" MUF="1.0" DYN_SCALE="3" PDF="247000">MUR=0.5 dyn_scale_choice=HT/2</weight>
<weight id="10" MUR="0.5" MUF="1.0" DYN_SCALE="4" PDF="247000">MUR=0.5 dyn_scale_choice=sqrts</weight>
<weight id="11" MUR="0.5" MUF="2.0" PDF="247000">MUR=0.5 MUF=2.0</weight>
<weight id="12" MUR="0.5" MUF="2.0" DYN_SCALE="1" PDF="247000">MUR=0.5 MUF=2.0 dyn_scale_choice=sum pt</weight>
<weight id="13" MUR="0.5" MUF="2.0" DYN_SCALE="2" PDF="247000">MUR=0.5 MUF=2.0 dyn_scale_choice=HT</weight>
<weight id="14" MUR="0.5" MUF="2.0" DYN_SCALE="3" PDF="247000">MUR=0.5 MUF=2.0 dyn_scale_choice=HT/2</weight>
<weight id="15" MUR="0.5" MUF="2.0" DYN_SCALE="4" PDF="247000">MUR=0.5 MUF=2.0 dyn_scale_choice=sqrts</weight>
<weight id="16" MUR="1.0" MUF="0.5" PDF="247000">MUF=0.5</weight>
<weight id="17" MUR="1.0" MUF="0.5" DYN_SCALE="1" PDF="247000">MUF=0.5 dyn_scale_choice=sum pt</weight>
<weight id="18" MUR="1.0" MUF="0.5" DYN_SCALE="2" PDF="247000">MUF=0.5 dyn_scale_choice=HT</weight>
<weight id="19" MUR="1.0" MUF="0.5" DYN_SCALE="3" PDF="247000">MUF=0.5 dyn_scale_choice=HT/2</weight>
<weight id="20" MUR="1.0" MUF="0.5" DYN_SCALE="4" PDF="247000">MUF=0.5 dyn_scale_choice=sqrts</weight>
<weight id="21" MUR="1.0" MUF="1.0" DYN_SCALE="1" PDF="247000">dyn_scale_choice=sum pt</weight>
<weight id="22" MUR="1.0" MUF="1.0" DYN_SCALE="2" PDF="247000">dyn_scale_choice=HT</weight>
<weight id="23" MUR="1.0" MUF="1.0" DYN_SCALE="3" PDF="247000">dyn_scale_choice=HT/2</weight>
<weight id="24" MUR="1.0" MUF="1.0" DYN_SCALE="4" PDF="247000">dyn_scale_choice=sqrts</weight>
<weight id="25" MUR="1.0" MUF="2.0" PDF="247000">MUF=2.0</weight>
<weight id="26" MUR="1.0" MUF="2.0" DYN_SCALE="1" PDF="247000">MUF=2.0 dyn_scale_choice=sum pt</weight>
<weight id="27" MUR="1.0" MUF="2.0" DYN_SCALE="2" PDF="247000">MUF=2.0 dyn_scale_choice=HT</weight>
<weight id="28" MUR="1.0" MUF="2.0" DYN_SCALE="3" PDF="247000">MUF=2.0 dyn_scale_choice=HT/2</weight>
<weight id="29" MUR="1.0" MUF="2.0" DYN_SCALE="4" PDF="247000">MUF=2.0 dyn_scale_choice=sqrts</weight>
<weight id="30" MUR="2.0" MUF="0.5" PDF="247000">MUR=2.0 MUF=0.5</weight>
<weight id="31" MUR="2.0" MUF="0.5" DYN_SCALE="1" PDF="247000">MUR=2.0 MUF=0.5 dyn_scale_choice=sum pt</weight>
<weight id="32" MUR="2.0" MUF="0.5" DYN_SCALE="2" PDF="247000">MUR=2.0 MUF=0.5 dyn_scale_choice=HT</weight>
<weight id="33" MUR="2.0" MUF="0.5" DYN_SCALE="3" PDF="247000">MUR=2.0 MUF=0.5 dyn_scale_choice=HT/2</weight>
<weight id="34" MUR="2.0" MUF="0.5" DYN_SCALE="4" PDF="247000">MUR=2.0 MUF=0.5 dyn_scale_choice=sqrts</weight>
<weight id="35" MUR="2.0" MUF="1.0" PDF="247000">MUR=2.0</weight>
<weight id="36" MUR="2.0" MUF="1.0" DYN_SCALE="1" PDF="247000">MUR=2.0 dyn_scale_choice=sum pt</weight>
<weight id="37" MUR="2.0" MUF="1.0" DYN_SCALE="2" PDF="247000">MUR=2.0 dyn_scale_choice=HT</weight>
<weight id="38" MUR="2.0" MUF="1.0" DYN_SCALE="3" PDF="247000">MUR=2.0 dyn_scale_choice=HT/2</weight>
<weight id="39" MUR="2.0" MUF="1.0" DYN_SCALE="4" PDF="247000">MUR=2.0 dyn_scale_choice=sqrts</weight>
<weight id="40" MUR="2.0" MUF="2.0" PDF="247000">MUR=2.0 MUF=2.0</weight>
<weight id="41" MUR="2.0" MUF="2.0" DYN_SCALE="1" PDF="247000">MUR=2.0 MUF=2.0 dyn_scale_choice=sum pt</weight>
<weight id="42" MUR="2.0" MUF="2.0" DYN_SCALE="2" PDF="247000">MUR=2.0 MUF=2.0 dyn_scale_choice=HT</weight>
<weight id="43" MUR="2.0" MUF="2.0" DYN_SCALE="3" PDF="247000">MUR=2.0 MUF=2.0 dyn_scale_choice=HT/2</weight>
<weight id="44" MUR="2.0" MUF="2.0" DYN_SCALE="4" PDF="247000">MUR=2.0 MUF=2.0 dyn_scale_choice=sqrts</weight>
</weightgroup>
<weightgroup name="NNPDF23_lo_as_0130_qed" combine="replicas">
<weight id="45" MUR="1.0" MUF="1.0" PDF="247000" />
<weight id="46" MUR="1.0" MUF="1.0" PDF="247001">PDF=247000 MemberID=1</weight>
<weight id="47" MUR="1.0" MUF="1.0" PDF="247002">PDF=247000 MemberID=2</weight>
<weight id="48" MUR="1.0" MUF="1.0" PDF="247003">PDF=247000 MemberID=3</weight>
<weight id="49" MUR="1.0" MUF="1.0" PDF="247004">PDF=247000 MemberID=4</weight>
<weight id="50" MUR="1.0" MUF="1.0" PDF="247005">PDF=247000 MemberID=5</weight>
<weight id="51" MUR="1.0" MUF="1.0" PDF="247006">PDF=247000 MemberID=6</weight>
<weight id="52" MUR="1.0" MUF="1.0" PDF="247007">PDF=247000 MemberID=7</weight>
<weight id="53" MUR="1.0" MUF="1.0" PDF="247008">PDF=247000 MemberID=8</weight>
<weight id="54" MUR="1.0" MUF="1.0" PDF="247009">PDF=247000 MemberID=9</weight>
<weight id="55" MUR="1.0" MUF="1.0" PDF="247010">PDF=247000 MemberID=10</weight>
<weight id="56" MUR="1.0" MUF="1.0" PDF="247011">PDF=247000 MemberID=11</weight>
<weight id="57" MUR="1.0" MUF="1.0" PDF="247012">PDF=247000 MemberID=12</weight>
<weight id="58" MUR="1.0" MUF="1.0" PDF="247013">PDF=247000 MemberID=13</weight>
<weight id="59" MUR="1.0" MUF="1.0" PDF="247014">PDF=247000 MemberID=14</weight>
<weight id="60" MUR="1.0" MUF="1.0" PDF="247015">PDF=247000 MemberID=15</weight>
<weight id="61" MUR="1.0" MUF="1.0" PDF="247016">PDF=247000 MemberID=16</weight>
<weight id="62" MUR="1.0" MUF="1.0" PDF="247017">PDF=247000 MemberID=17</weight>
<weight id="63" MUR="1.0" MUF="1.0" PDF="247018">PDF=247000 MemberID=18</weight>
<weight id="64" MUR="1.0" MUF="1.0" PDF="247019">PDF=247000 MemberID=19</weight>
<weight id="65" MUR="1.0" MUF="1.0" PDF="247020">PDF=247000 MemberID=20</weight>
<weight id="66" MUR="1.0" MUF="1.0" PDF="247021">PDF=247000 MemberID=21</weight>
<weight id="67" MUR="1.0" MUF="1.0" PDF="247022">PDF=247000 MemberID=22</weight>
<weight id="68" MUR="1.0" MUF="1.0" PDF="247023">PDF=247000 MemberID=23</weight>
<weight id="69" MUR="1.0" MUF="1.0" PDF="247024">PDF=247000 MemberID=24</weight>
<weight id="70" MUR="1.0" MUF="1.0" PDF="247025">PDF=247000 MemberID=25</weight>
<weight id="71" MUR="1.0" MUF="1.0" PDF="247026">PDF=247000 MemberID=26</weight>
<weight id="72" MUR="1.0" MUF="1.0" PDF="247027">PDF=247000 MemberID=27</weight>
<weight id="73" MUR="1.0" MUF="1.0" PDF="247028">PDF=247000 MemberID=28</weight>
<weight id="74" MUR="1.0" MUF="1.0" PDF="247029">PDF=247000 MemberID=29</weight>
<weight id="75" MUR="1.0" MUF="1.0" PDF="247030">PDF=247000 MemberID=30</weight>
<weight id="76" MUR="1.0" MUF="1.0" PDF="247031">PDF=247000 MemberID=31</weight>
<weight id="77" MUR="1.0" MUF="1.0" PDF="247032">PDF=247000 MemberID=32</weight>
<weight id="78" MUR="1.0" MUF="1.0" PDF="247033">PDF=247000 MemberID=33</weight>
<weight id="79" MUR="1.0" MUF="1.0" PDF="247034">PDF=247000 MemberID=34</weight>
<weight id="80" MUR="1.0" MUF="1.0" PDF="247035">PDF=247000 MemberID=35</weight>
<weight id="81" MUR="1.0" MUF="1.0" PDF="247036">PDF=247000 MemberID=36</weight>
<weight id="82" MUR="1.0" MUF="1.0" PDF="247037">PDF=247000 MemberID=37</weight>
<weight id="83" MUR="1.0" MUF="1.0" PDF="247038">PDF=247000 MemberID=38</weight>
<weight id="84" MUR="1.0" MUF="1.0" PDF="247039">PDF=247000 MemberID=39</weight>
<weight id="85" MUR="1.0" MUF="1.0" PDF="247040">PDF=247000 MemberID=40</weight>
<weight id="86" MUR="1.0" MUF="1.0" PDF="247041">PDF=247000 MemberID=41</weight>
<weight id="87" MUR="1.0" MUF="1.0" PDF="247042">PDF=247000 MemberID=42</weight>
<weight id="88" MUR="1.0" MUF="1.0" PDF="247043">PDF=247000 MemberID=43</weight>
<weight id="89" MUR="1.0" MUF="1.0" PDF="247044">PDF=247000 MemberID=44</weight>
<weight id="90" MUR="1.0" MUF="1.0" PDF="247045">PDF=247000 MemberID=45</weight>
<weight id="91" MUR="1.0" MUF="1.0" PDF="247046">PDF=247000 MemberID=46</weight>
<weight id="92" MUR="1.0" MUF="1.0" PDF="247047">PDF=247000 MemberID=47</weight>
<weight id="93" MUR="1.0" MUF="1.0" PDF="247048">PDF=247000 MemberID=48</weight>
<weight id="94" MUR="1.0" MUF="1.0" PDF="247049">PDF=247000 MemberID=49</weight>
<weight id="95" MUR="1.0" MUF="1.0" PDF="247050">PDF=247000 MemberID=50</weight>
<weight id="96" MUR="1.0" MUF="1.0" PDF="247051">PDF=247000 MemberID=51</weight>
<weight id="97" MUR="1.0" MUF="1.0" PDF="247052">PDF=247000 MemberID=52</weight>
<weight id="98" MUR="1.0" MUF="1.0" PDF="247053">PDF=247000 MemberID=53</weight>
<weight id="99" MUR="1.0" MUF="1.0" PDF="247054">PDF=247000 MemberID=54</weight>
<weight id="100" MUR="1.0" MUF="1.0" PDF="247055">PDF=247000 MemberID=55</weight>
<weight id="101" MUR="1.0" MUF="1.0" PDF="247056">PDF=247000 MemberID=56</weight>
<weight id="102" MUR="1.0" MUF="1.0" PDF="247057">PDF=247000 MemberID=57</weight>
<weight id="103" MUR="1.0" MUF="1.0" PDF="247058">PDF=247000 MemberID=58</weight>
<weight id="104" MUR="1.0" MUF="1.0" PDF="247059">PDF=247000 MemberID=59</weight>
<weight id="105" MUR="1.0" MUF="1.0" PDF="247060">PDF=247000 MemberID=60</weight>
<weight id="106" MUR="1.0" MUF="1.0" PDF="247061">PDF=247000 MemberID=61</weight>
<weight id="107" MUR="1.0" MUF="1.0" PDF="247062">PDF=247000 MemberID=62</weight>
<weight id="108" MUR="1.0" MUF="1.0" PDF="247063">PDF=247000 MemberID=63</weight>
<weight id="109" MUR="1.0" MUF="1.0" PDF="247064">PDF=247000 MemberID=64</weight>
<weight id="110" MUR="1.0" MUF="1.0" PDF="247065">PDF=247000 MemberID=65</weight>
<weight id="111" MUR="1.0" MUF="1.0" PDF="247066">PDF=247000 MemberID=66</weight>
<weight id="112" MUR="1.0" MUF="1.0" PDF="247067">PDF=247000 MemberID=67</weight>
<weight id="113" MUR="1.0" MUF="1.0" PDF="247068">PDF=247000 MemberID=68</weight>
<weight id="114" MUR="1.0" MUF="1.0" PDF="247069">PDF=247000 MemberID=69</weight>
<weight id="115" MUR="1.0" MUF="1.0" PDF="247070">PDF=247000 MemberID=70</weight>
<weight id="116" MUR="1.0" MUF="1.0" PDF="247071">PDF=247000 MemberID=71</weight>
<weight id="117" MUR="1.0" MUF="1.0" PDF="247072">PDF=247000 MemberID=72</weight>
<weight id="118" MUR="1.0" MUF="1.0" PDF="247073">PDF=247000 MemberID=73</weight>
<weight id="119" MUR="1.0" MUF="1.0" PDF="247074">PDF=247000 MemberID=74</weight>
<weight id="120" MUR="1.0" MUF="1.0" PDF="247075">PDF=247000 MemberID=75</weight>
<weight id="121" MUR="1.0" MUF="1.0" PDF="247076">PDF=247000 MemberID=76</weight>
<weight id="122" MUR="1.0" MUF="1.0" PDF="247077">PDF=247000 MemberID=77</weight>
<weight id="123" MUR="1.0" MUF="1.0" PDF="247078">PDF=247000 MemberID=78</weight>
<weight id="124" MUR="1.0" MUF="1.0" PDF="247079">PDF=247000 MemberID=79</weight>
<weight id="125" MUR="1.0" MUF="1.0" PDF="247080">PDF=247000 MemberID=80</weight>
<weight id="126" MUR="1.0" MUF="1.0" PDF="247081">PDF=247000 MemberID=81</weight>
<weight id="127" MUR="1.0" MUF="1.0" PDF="247082">PDF=247000 MemberID=82</weight>
<weight id="128" MUR="1.0" MUF="1.0" PDF="247083">PDF=247000 MemberID=83</weight>
<weight id="129" MUR="1.0" MUF="1.0" PDF="247084">PDF=247000 MemberID=84</weight>
<weight id="130" MUR="1.0" MUF="1.0" PDF="247085">PDF=247000 MemberID=85</weight>
<weight id="131" MUR="1.0" MUF="1.0" PDF="247086">PDF=247000 MemberID=86</weight>
<weight id="132" MUR="1.0" MUF="1.0" PDF="247087">PDF=247000 MemberID=87</weight>
<weight id="133" MUR="1.0" MUF="1.0" PDF="247088">PDF=247000 MemberID=88</weight>
<weight id="134" MUR="1.0" MUF="1.0" PDF="247089">PDF=247000 MemberID=89</weight>
<weight id="135" MUR="1.0" MUF="1.0" PDF="247090">PDF=247000 MemberID=90</weight>
<weight id="136" MUR="1.0" MUF="1.0" PDF="247091">PDF=247000 MemberID=91</weight>
<weight id="137" MUR="1.0" MUF="1.0" PDF="247092">PDF=247000 MemberID=92</weight>
<weight id="138" MUR="1.0" MUF="1.0" PDF="247093">PDF=247000 MemberID=93</weight>
<weight id="139" MUR="1.0" MUF="1.0" PDF="247094">PDF=247000 MemberID=94</weight>
<weight id="140" MUR="1.0" MUF="1.0" PDF="247095">PDF=247000 MemberID=95</weight>
<weight id="141" MUR="1.0" MUF="1.0" PDF="247096">PDF=247000 MemberID=96</weight>
<weight id="142" MUR="1.0" MUF="1.0" PDF="247097">PDF=247000 MemberID=97</weight>
<weight id="143" MUR="1.0" MUF="1.0" PDF="247098">PDF=247000 MemberID=98</weight>
<weight id="144" MUR="1.0" MUF="1.0" PDF="247099">PDF=247000 MemberID=99</weight>
<weight id="145" MUR="1.0" MUF="1.0" PDF="247100">PDF=247000 MemberID=100</weight>
</weightgroup>
</initrwgt>
</init>
<event>
4 1 1.6782100000e+03 8.9368380000e+01 7.5467710000e-03 1.3043880000e-01
2 -1 0 0 501 0 0.00000000e+00 0.00000000e+00 7.43180309e+01 7.43180309e+01 0.00000000e+00 0.0000e+00 -1.0000e+00
-2 -1 0 0 0 501 -0.00000000e+00 -0.00000000e+00 -2.68666559e+01 2.68666559e+01 0.00000000e+00 0.0000e+00 1.0000e+00
-11 1 1 2 0 0 -6.93966660e+00 2.77442206e+01 -1.51471798e+01 3.23625988e+01 0.00000000e+00 0.0000e+00 1.0000e+00
11 1 1 2 0 0 6.93966660e+00 -2.77442206e+01 6.25985547e+01 6.88220880e+01 0.00000000e+00 0.0000e+00 -1.0000e+00
<rwgt>
<wgt id='1'> 1.4809e+03</wgt>
<wgt id='2'> 1.3469e+03</wgt>
<wgt id='3'> 1.3469e+03</wgt>
<wgt id='4'> 1.1295e+03</wgt>
<wgt id='5'> 1.4809e+03</wgt>
<wgt id='6'> 1.6782e+03</wgt>
<wgt id='7'> 1.5528e+03</wgt>
<wgt id='8'> 1.5528e+03</wgt>
<wgt id='9'> 1.3469e+03</wgt>
<wgt id='10'> 1.6782e+03</wgt>
<wgt id='11'> 1.8614e+03</wgt>
<wgt id='12'> 1.7451e+03</wgt>
<wgt id='13'> 1.7451e+03</wgt>
<wgt id='14'> 1.5528e+03</wgt>
<wgt id='15'> 1.8614e+03</wgt>
<wgt id='16'> 1.4809e+03</wgt>
<wgt id='17'> 1.3469e+03</wgt>
<wgt id='18'> 1.3469e+03</wgt>
<wgt id='19'> 1.1295e+03</wgt>
<wgt id='20'> 1.4809e+03</wgt>
<wgt id='21'> 1.5528e+03</wgt>
<wgt id='22'> 1.5528e+03</wgt>
<wgt id='23'> 1.3469e+03</wgt>
<wgt id='24'> 1.6782e+03</wgt>
<wgt id='25'> 1.8614e+03</wgt>
<wgt id='26'> 1.7451e+03</wgt>
<wgt id='27'> 1.7451e+03</wgt>
<wgt id='28'> 1.5528e+03</wgt>
<wgt id='29'> 1.8614e+03</wgt>
<wgt id='30'> 1.4809e+03</wgt>
<wgt id='31'> 1.3469e+03</wgt>
<wgt id='32'> 1.3469e+03</wgt>
<wgt id='33'> 1.1295e+03</wgt>
<wgt id='34'> 1.4809e+03</wgt>
<wgt id='35'> 1.6782e+03</wgt>
<wgt id='36'> 1.5528e+03</wgt>
<wgt id='37'> 1.5528e+03</wgt>
<wgt id='38'> 1.3469e+03</wgt>
<wgt id='39'> 1.6782e+03</wgt>
<wgt id='40'> 1.8614e+03</wgt>
<wgt id='41'> 1.7451e+03</wgt>
<wgt id='42'> 1.7451e+03</wgt>
<wgt id='43'> 1.5528e+03</wgt>
<wgt id='44'> 1.8614e+03</wgt>
<wgt id='45'> 1.6782e+03</wgt>
<wgt id='46'> 1.6553e+03</wgt>
<wgt id='47'> 1.6314e+03</wgt>
<wgt id='48'> 1.6461e+03</wgt>
<wgt id='49'> 1.6199e+03</wgt>
<wgt id='50'> 1.6843e+03</wgt>
<wgt id='51'> 1.6671e+03</wgt>
<wgt id='52'> 1.6094e+03</wgt>
<wgt id='53'> 1.7531e+03</wgt>
<wgt id='54'> 1.6820e+03</wgt>
<wgt id='55'> 1.6516e+03</wgt>
<wgt id='56'> 1.7195e+03</wgt>
<wgt id='57'> 1.6271e+03</wgt>
<wgt id='58'> 1.7513e+03</wgt>
<wgt id='59'> 1.6538e+03</wgt>
<wgt id='60'> 1.6744e+03</wgt>
<wgt id='61'> 1.7555e+03</wgt>
<wgt id='62'> 1.7074e+03</wgt>
<wgt id='63'> 1.6951e+03</wgt>
<wgt id='64'> 1.6951e+03</wgt>
<wgt id='65'> 1.6721e+03</wgt>
<wgt id='66'> 1.7157e+03</wgt>
<wgt id='67'> 1.6861e+03</wgt>
<wgt id='68'> 1.5079e+03</wgt>
<wgt id='69'> 1.5807e+03</wgt>
<wgt id='70'> 1.6788e+03</wgt>
<wgt id='71'> 1.7110e+03</wgt>
<wgt id='72'> 1.7204e+03</wgt>
<wgt id='73'> 1.7410e+03</wgt>
<wgt id='74'> 1.6152e+03</wgt>
<wgt id='75'> 1.5948e+03</wgt>
<wgt id='76'> 1.7636e+03</wgt>
<wgt id='77'> 1.6926e+03</wgt>
<wgt id='78'> 1.7551e+03</wgt>
<wgt id='79'> 1.7149e+03</wgt>
<wgt id='80'> 1.7482e+03</wgt>
<wgt id='81'> 1.6605e+03</wgt>
<wgt id='82'> 1.7277e+03</wgt>
<wgt id='83'> 1.6063e+03</wgt>
<wgt id='84'> 1.6893e+03</wgt>
<wgt id='85'> 1.6911e+03</wgt>
<wgt id='86'> 1.6646e+03</wgt>
<wgt id='87'> 1.7113e+03</wgt>
<wgt id='88'> 1.6774e+03</wgt>
<wgt id='89'> 1.6866e+03</wgt>
<wgt id='90'> 1.7343e+03</wgt>
<wgt id='91'> 1.5961e+03</wgt>
<wgt id='92'> 1.7314e+03</wgt>
<wgt id='93'> 1.6164e+03</wgt>
<wgt id='94'> 1.6859e+03</wgt>
<wgt id='95'> 1.6587e+03</wgt>
<wgt id='96'> 1.6679e+03</wgt>
<wgt id='97'> 1.7226e+03</wgt>
<wgt id='98'> 1.7133e+03</wgt>
<wgt id='99'> 1.7487e+03</wgt>
<wgt id='100'> 1.7296e+03</wgt>
<wgt id='101'> 1.5388e+03</wgt>
<wgt id='102'> 1.5822e+03</wgt>
<wgt id='103'> 1.6421e+03</wgt>
<wgt id='104'> 1.6703e+03</wgt>
<wgt id='105'> 1.7068e+03</wgt>
<wgt id='106'> 1.7467e+03</wgt>
<wgt id='107'> 1.7071e+03</wgt>
<wgt id='108'> 1.7314e+03</wgt>
<wgt id='109'> 1.7323e+03</wgt>
<wgt id='110'> 1.7469e+03</wgt>
<wgt id='111'> 1.7210e+03</wgt>
<wgt id='112'> 1.6841e+03</wgt>
<wgt id='113'> 1.6620e+03</wgt>
<wgt id='114'> 1.7205e+03</wgt>
<wgt id='115'> 1.6914e+03</wgt>
<wgt id='116'> 1.6384e+03</wgt>
<wgt id='117'> 1.6619e+03</wgt>
<wgt id='118'> 1.6116e+03</wgt>
<wgt id='119'> 1.7048e+03</wgt>
<wgt id='120'> 1.6774e+03</wgt>
<wgt id='121'> 1.7120e+03</wgt>
<wgt id='122'> 1.7478e+03</wgt>
<wgt id='123'> 1.7986e+03</wgt>
<wgt id='124'> 1.5958e+03</wgt>
<wgt id='125'> 1.5796e+03</wgt>
<wgt id='126'> 1.6808e+03</wgt>
<wgt id='127'> 1.6826e+03</wgt>
<wgt id='128'> 1.6533e+03</wgt>
<wgt id='129'> 1.6827e+03</wgt>
<wgt id='130'> 1.5800e+03</wgt>
<wgt id='131'> 1.6695e+03</wgt>
<wgt id='132'> 1.5944e+03</wgt>
<wgt id='133'> 1.6317e+03</wgt>
<wgt id='134'> 1.6429e+03</wgt>
<wgt id='135'> 1.6526e+03</wgt>
<wgt id='136'> 1.6842e+03</wgt>
<wgt id='137'> 1.7144e+03</wgt>
<wgt id='138'> 1.6289e+03</wgt>
<wgt id='139'> 1.5836e+03</wgt>
<wgt id='140'> 1.6705e+03</wgt>
<wgt id='141'> 1.6399e+03</wgt>
<wgt id='142'> 1.7583e+03</wgt>
<wgt id='143'> 1.7348e+03</wgt>
<wgt id='144'> 1.7596e+03</wgt>
<wgt id='145'> 1.7023e+03</wgt>
</rwgt>
</event>
<event>
5 1 1.6782100000e+03 9.1673260000e+01 7.5467710000e-03 1.2988500000e-01
2 -1 0 0 501 0 0.00000000e+00 0.00000000e+00 2.25287908e+02 2.25287908e+02 0.00000000e+00 0.0000e+00 -1.0000e+00
-2 -1 0 0 0 501 -0.00000000e+00 -0.00000000e+00 -9.32582999e+00 9.32582999e+00 0.00000000e+00 0.0000e+00 1.0000e+00
23 2 1 2 0 0 0.00000000e+00 0.00000000e+00 2.15962078e+02 2.34613738e+02 9.16732617e+01 0.0000e+00 0.0000e+00
-13 1 3 3 0 0 -3.21178604e+01 -4.61084611e+00 2.51241424e+01 4.10370490e+01 0.00000000e+00 0.0000e+00 1.0000e+00
13 1 3 3 0 0 3.21178604e+01 4.61084611e+00 1.90837936e+02 1.93576689e+02 0.00000000e+00 0.0000e+00 -1.0000e+00
<rwgt>
<wgt id='1'> 1.4797e+03</wgt>
<wgt id='2'> 1.3760e+03</wgt>
<wgt id='3'> 1.3760e+03</wgt>
<wgt id='4'> 1.1596e+03</wgt>
<wgt id='5'> 1.4797e+03</wgt>
<wgt id='6'> 1.6782e+03</wgt>
<wgt id='7'> 1.5810e+03</wgt>
<wgt id='8'> 1.5810e+03</wgt>
<wgt id='9'> 1.3760e+03</wgt>
<wgt id='10'> 1.6782e+03</wgt>
<wgt id='11'> 1.8629e+03</wgt>
<wgt id='12'> 1.7726e+03</wgt>
<wgt id='13'> 1.7726e+03</wgt>
<wgt id='14'> 1.5810e+03</wgt>
<wgt id='15'> 1.8629e+03</wgt>
<wgt id='16'> 1.4797e+03</wgt>
<wgt id='17'> 1.3760e+03</wgt>
<wgt id='18'> 1.3760e+03</wgt>
<wgt id='19'> 1.1596e+03</wgt>
<wgt id='20'> 1.4797e+03</wgt>
<wgt id='21'> 1.5810e+03</wgt>
<wgt id='22'> 1.5810e+03</wgt>
<wgt id='23'> 1.3760e+03</wgt>
<wgt id='24'> 1.6782e+03</wgt>
<wgt id='25'> 1.8629e+03</wgt>
<wgt id='26'> 1.7726e+03</wgt>
<wgt id='27'> 1.7726e+03</wgt>
<wgt id='28'> 1.5810e+03</wgt>
<wgt id='29'> 1.8629e+03</wgt>
<wgt id='30'> 1.4797e+03</wgt>
<wgt id='31'> 1.3760e+03</wgt>
<wgt id='32'> 1.3760e+03</wgt>
<wgt id='33'> 1.1596e+03</wgt>
<wgt id='34'> 1.4797e+03</wgt>
<wgt id='35'> 1.6782e+03</wgt>
<wgt id='36'> 1.5810e+03</wgt>
<wgt id='37'> 1.5810e+03</wgt>
<wgt id='38'> 1.3760e+03</wgt>
<wgt id='39'> 1.6782e+03</wgt>
<wgt id='40'> 1.8629e+03</wgt>
<wgt id='41'> 1.7726e+03</wgt>
<wgt id='42'> 1.7726e+03</wgt>
<wgt id='43'> 1.5810e+03</wgt>
<wgt id='44'> 1.8629e+03</wgt>
<wgt id='45'> 1.6782e+03</wgt>
<wgt id='46'> 1.6505e+03</wgt>
<wgt id='47'> 1.5966e+03</wgt>
<wgt id='48'> 1.6773e+03</wgt>
<wgt id='49'> 1.6642e+03</wgt>
<wgt id='50'> 1.6235e+03</wgt>
<wgt id='51'> 1.7019e+03</wgt>
<wgt id='52'> 1.5674e+03</wgt>
<wgt id='53'> 1.7236e+03</wgt>
<wgt id='54'> 1.6793e+03</wgt>
<wgt id='55'> 1.6923e+03</wgt>
<wgt id='56'> 1.7391e+03</wgt>
<wgt id='57'> 1.6468e+03</wgt>
<wgt id='58'> 1.7389e+03</wgt>
<wgt id='59'> 1.6653e+03</wgt>
<wgt id='60'> 1.7134e+03</wgt>
<wgt id='61'> 1.7875e+03</wgt>
<wgt id='62'> 1.7295e+03</wgt>
<wgt id='63'> 1.6781e+03</wgt>
<wgt id='64'> 1.7138e+03</wgt>
<wgt id='65'> 1.6368e+03</wgt>
<wgt id='66'> 1.7568e+03</wgt>
<wgt id='67'> 1.6589e+03</wgt>
<wgt id='68'> 1.5084e+03</wgt>
<wgt id='69'> 1.6070e+03</wgt>
<wgt id='70'> 1.6596e+03</wgt>
<wgt id='71'> 1.7595e+03</wgt>
<wgt id='72'> 1.7681e+03</wgt>
<wgt id='73'> 1.7305e+03</wgt>
<wgt id='74'> 1.5992e+03</wgt>
<wgt id='75'> 1.5964e+03</wgt>
<wgt id='76'> 1.7572e+03</wgt>
<wgt id='77'> 1.7148e+03</wgt>
<wgt id='78'> 1.7526e+03</wgt>
<wgt id='79'> 1.7185e+03</wgt>
<wgt id='80'> 1.7406e+03</wgt>
<wgt id='81'> 1.6575e+03</wgt>
<wgt id='82'> 1.7406e+03</wgt>
<wgt id='83'> 1.5879e+03</wgt>
<wgt id='84'> 1.6335e+03</wgt>
<wgt id='85'> 1.6393e+03</wgt>
<wgt id='86'> 1.6191e+03</wgt>
<wgt id='87'> 1.6977e+03</wgt>
<wgt id='88'> 1.6718e+03</wgt>
<wgt id='89'> 1.6228e+03</wgt>
<wgt id='90'> 1.6866e+03</wgt>
<wgt id='91'> 1.6454e+03</wgt>
<wgt id='92'> 1.7344e+03</wgt>
<wgt id='93'> 1.6033e+03</wgt>
<wgt id='94'> 1.6507e+03</wgt>
<wgt id='95'> 1.6655e+03</wgt>
<wgt id='96'> 1.6259e+03</wgt>
<wgt id='97'> 1.7066e+03</wgt>
<wgt id='98'> 1.6883e+03</wgt>
<wgt id='99'> 1.7889e+03</wgt>
<wgt id='100'> 1.8003e+03</wgt>
<wgt id='101'> 1.5503e+03</wgt>
<wgt id='102'> 1.5898e+03</wgt>
<wgt id='103'> 1.5835e+03</wgt>
<wgt id='104'> 1.6640e+03</wgt>
<wgt id='105'> 1.6889e+03</wgt>
<wgt id='106'> 1.7655e+03</wgt>
<wgt id='107'> 1.7128e+03</wgt>
<wgt id='108'> 1.7758e+03</wgt>
<wgt id='109'> 1.7580e+03</wgt>
<wgt id='110'> 1.7507e+03</wgt>
<wgt id='111'> 1.7400e+03</wgt>
<wgt id='112'> 1.7433e+03</wgt>
<wgt id='113'> 1.7098e+03</wgt>
<wgt id='114'> 1.7463e+03</wgt>
<wgt id='115'> 1.6988e+03</wgt>
<wgt id='116'> 1.6599e+03</wgt>
<wgt id='117'> 1.6442e+03</wgt>
<wgt id='118'> 1.6225e+03</wgt>
<wgt id='119'> 1.6879e+03</wgt>
<wgt id='120'> 1.6673e+03</wgt>
<wgt id='121'> 1.7409e+03</wgt>
<wgt id='122'> 1.7359e+03</wgt>
<wgt id='123'> 1.7596e+03</wgt>
<wgt id='124'> 1.5767e+03</wgt>
<wgt id='125'> 1.5483e+03</wgt>
<wgt id='126'> 1.6551e+03</wgt>
<wgt id='127'> 1.6488e+03</wgt>
<wgt id='128'> 1.6914e+03</wgt>
<wgt id='129'> 1.6361e+03</wgt>
<wgt id='130'> 1.6231e+03</wgt>
<wgt id='131'> 1.6349e+03</wgt>
<wgt id='132'> 1.5944e+03</wgt>
<wgt id='133'> 1.6045e+03</wgt>
<wgt id='134'> 1.6687e+03</wgt>
<wgt id='135'> 1.6728e+03</wgt>
<wgt id='136'> 1.6807e+03</wgt>
<wgt id='137'> 1.7129e+03</wgt>
<wgt id='138'> 1.6707e+03</wgt>
<wgt id='139'> 1.5443e+03</wgt>
<wgt id='140'> 1.6675e+03</wgt>
<wgt id='141'> 1.6382e+03</wgt>
<wgt id='142'> 1.8170e+03</wgt>
<wgt id='143'> 1.7309e+03</wgt>
<wgt id='144'> 1.7507e+03</wgt>
<wgt id='145'> 1.6814e+03</wgt>
</rwgt>
</event>
<event>
5 1 1.6782100000e+03 9.3375730000e+01 7.5467710000e-03 1.2948770000e-01
-2 -1 0 0 0 501 -0.00000000e+00 0.00000000e+00 6.38598869e+01 6.38598869e+01 0.00000000e+00 0.0000e+00 1.0000e+00
2 -1 0 0 501 0 0.00000000e+00 -0.00000000e+00 -3.41334250e+01 3.41334250e+01 0.00000000e+00 0.0000e+00 -1.0000e+00
23 2 1 2 0 0 0.00000000e+00 0.00000000e+00 2.97264619e+01 9.79933119e+01 9.33757283e+01 0.0000e+00 0.0000e+00
-11 1 3 3 0 0 1.78799500e+01 -4.32808425e+00 -3.01695174e+01 3.53358841e+01 0.00000000e+00 0.0000e+00 -1.0000e+00
11 1 3 3 0 0 -1.78799500e+01 4.32808425e+00 5.98959793e+01 6.26574278e+01 0.00000000e+00 0.0000e+00 1.0000e+00
<rwgt>
<wgt id='1'> 1.4884e+03</wgt>
<wgt id='2'> 1.2115e+03</wgt>
<wgt id='3'> 1.2115e+03</wgt>
<wgt id='4'> 9.9299e+02</wgt>
<wgt id='5'> 1.4884e+03</wgt>
<wgt id='6'> 1.6782e+03</wgt>
<wgt id='7'> 1.4198e+03</wgt>
<wgt id='8'> 1.4198e+03</wgt>
<wgt id='9'> 1.2115e+03</wgt>
<wgt id='10'> 1.6782e+03</wgt>
<wgt id='11'> 1.8532e+03</wgt>
<wgt id='12'> 1.6146e+03</wgt>
<wgt id='13'> 1.6146e+03</wgt>
<wgt id='14'> 1.4198e+03</wgt>
<wgt id='15'> 1.8532e+03</wgt>
<wgt id='16'> 1.4884e+03</wgt>
<wgt id='17'> 1.2115e+03</wgt>
<wgt id='18'> 1.2115e+03</wgt>
<wgt id='19'> 9.9299e+02</wgt>
<wgt id='20'> 1.4884e+03</wgt>
<wgt id='21'> 1.4198e+03</wgt>
<wgt id='22'> 1.4198e+03</wgt>
<wgt id='23'> 1.2115e+03</wgt>
<wgt id='24'> 1.6782e+03</wgt>
<wgt id='25'> 1.8532e+03</wgt>
<wgt id='26'> 1.6146e+03</wgt>
<wgt id='27'> 1.6146e+03</wgt>
<wgt id='28'> 1.4198e+03</wgt>
<wgt id='29'> 1.8532e+03</wgt>
<wgt id='30'> 1.4884e+03</wgt>
<wgt id='31'> 1.2115e+03</wgt>
<wgt id='32'> 1.2115e+03</wgt>
<wgt id='33'> 9.9299e+02</wgt>
<wgt id='34'> 1.4884e+03</wgt>
<wgt id='35'> 1.6782e+03</wgt>
<wgt id='36'> 1.4198e+03</wgt>
<wgt id='37'> 1.4198e+03</wgt>
<wgt id='38'> 1.2115e+03</wgt>
<wgt id='39'> 1.6782e+03</wgt>
<wgt id='40'> 1.8532e+03</wgt>
<wgt id='41'> 1.6146e+03</wgt>
<wgt id='42'> 1.6146e+03</wgt>
<wgt id='43'> 1.4198e+03</wgt>
<wgt id='44'> 1.8532e+03</wgt>
<wgt id='45'> 1.6782e+03</wgt>
<wgt id='46'> 1.6756e+03</wgt>
<wgt id='47'> 1.6362e+03</wgt>
<wgt id='48'> 1.6304e+03</wgt>
<wgt id='49'> 1.6026e+03</wgt>
<wgt id='50'> 1.6587e+03</wgt>
<wgt id='51'> 1.6492e+03</wgt>
<wgt id='52'> 1.6155e+03</wgt>
<wgt id='53'> 1.7550e+03</wgt>
<wgt id='54'> 1.6699e+03</wgt>
<wgt id='55'> 1.6126e+03</wgt>
<wgt id='56'> 1.7880e+03</wgt>
<wgt id='57'> 1.6070e+03</wgt>
<wgt id='58'> 1.7433e+03</wgt>
<wgt id='59'> 1.6410e+03</wgt>
<wgt id='60'> 1.6602e+03</wgt>
<wgt id='61'> 1.7573e+03</wgt>
<wgt id='62'> 1.7027e+03</wgt>
<wgt id='63'> 1.7252e+03</wgt>
<wgt id='64'> 1.6705e+03</wgt>
<wgt id='65'> 1.6769e+03</wgt>
<wgt id='66'> 1.7027e+03</wgt>
<wgt id='67'> 1.7205e+03</wgt>
<wgt id='68'> 1.4845e+03</wgt>
<wgt id='69'> 1.5524e+03</wgt>
<wgt id='70'> 1.6814e+03</wgt>
<wgt id='71'> 1.6852e+03</wgt>
<wgt id='72'> 1.6972e+03</wgt>
<wgt id='73'> 1.7453e+03</wgt>
<wgt id='74'> 1.5968e+03</wgt>
<wgt id='75'> 1.6142e+03</wgt>
<wgt id='76'> 1.7523e+03</wgt>
<wgt id='77'> 1.6797e+03</wgt>
<wgt id='78'> 1.7518e+03</wgt>
<wgt id='79'> 1.7070e+03</wgt>
<wgt id='80'> 1.7658e+03</wgt>
<wgt id='81'> 1.6692e+03</wgt>
<wgt id='82'> 1.7026e+03</wgt>
<wgt id='83'> 1.6141e+03</wgt>
<wgt id='84'> 1.7054e+03</wgt>
<wgt id='85'> 1.7141e+03</wgt>
<wgt id='86'> 1.6910e+03</wgt>
<wgt id='87'> 1.7081e+03</wgt>
<wgt id='88'> 1.6751e+03</wgt>
<wgt id='89'> 1.7556e+03</wgt>
<wgt id='90'> 1.8099e+03</wgt>
<wgt id='91'> 1.5709e+03</wgt>
<wgt id='92'> 1.7439e+03</wgt>
<wgt id='93'> 1.6318e+03</wgt>
<wgt id='94'> 1.7276e+03</wgt>
<wgt id='95'> 1.6557e+03</wgt>
<wgt id='96'> 1.6843e+03</wgt>
<wgt id='97'> 1.7396e+03</wgt>
<wgt id='98'> 1.7271e+03</wgt>
<wgt id='99'> 1.7354e+03</wgt>
<wgt id='100'> 1.7143e+03</wgt>
<wgt id='101'> 1.5204e+03</wgt>
<wgt id='102'> 1.5725e+03</wgt>
<wgt id='103'> 1.6756e+03</wgt>
<wgt id='104'> 1.6666e+03</wgt>
<wgt id='105'> 1.7046e+03</wgt>
<wgt id='106'> 1.7546e+03</wgt>
<wgt id='107'> 1.6875e+03</wgt>
<wgt id='108'> 1.7354e+03</wgt>
<wgt id='109'> 1.7173e+03</wgt>
<wgt id='110'> 1.7495e+03</wgt>
<wgt id='111'> 1.7122e+03</wgt>
<wgt id='112'> 1.6610e+03</wgt>
<wgt id='113'> 1.6468e+03</wgt>
<wgt id='114'> 1.6984e+03</wgt>
<wgt id='115'> 1.6933e+03</wgt>
<wgt id='116'> 1.6180e+03</wgt>
<wgt id='117'> 1.6804e+03</wgt>
<wgt id='118'> 1.5969e+03</wgt>
<wgt id='119'> 1.7142e+03</wgt>
<wgt id='120'> 1.6759e+03</wgt>
<wgt id='121'> 1.6946e+03</wgt>
<wgt id='122'> 1.7439e+03</wgt>
<wgt id='123'> 1.8105e+03</wgt>
<wgt id='124'> 1.5911e+03</wgt>
<wgt id='125'> 1.5705e+03</wgt>
<wgt id='126'> 1.6981e+03</wgt>
<wgt id='127'> 1.7072e+03</wgt>
<wgt id='128'> 1.6440e+03</wgt>
<wgt id='129'> 1.6651e+03</wgt>
<wgt id='130'> 1.5546e+03</wgt>
<wgt id='131'> 1.6788e+03</wgt>
<wgt id='132'> 1.5968e+03</wgt>
<wgt id='133'> 1.6781e+03</wgt>
<wgt id='134'> 1.6160e+03</wgt>
<wgt id='135'> 1.6230e+03</wgt>
<wgt id='136'> 1.6649e+03</wgt>
<wgt id='137'> 1.7232e+03</wgt>
<wgt id='138'> 1.6322e+03</wgt>
<wgt id='139'> 1.6590e+03</wgt>
<wgt id='140'> 1.6470e+03</wgt>
<wgt id='141'> 1.6213e+03</wgt>
<wgt id='142'> 1.7461e+03</wgt>
<wgt id='143'> 1.7365e+03</wgt>
<wgt id='144'> 1.7717e+03</wgt>
<wgt id='145'> 1.7176e+03</wgt>
</rwgt>
</event>
<event>
4 1 1.6782100000e+03 9.1638730000e+01 7.5467710000e-03 1.2989310000e-01
1 -1 0 0 501 0 0.00000000e+00 0.00000000e+00 4.46125101e+01 4.46125101e+01 0.00000000e+00 0.0000e+00 -1.0000e+00
-1 -1 0 0 0 501 -0.00000000e+00 -0.00000000e+00 -4.70588647e+01 4.70588647e+01 0.00000000e+00 0.0000e+00 1.0000e+00
-11 1 1 2 0 0 1.28771854e+01 4.38209466e+01 -4.87369922e+00 4.59331058e+01 0.00000000e+00 0.0000e+00 1.0000e+00
11 1 1 2 0 0 -1.28771854e+01 -4.38209466e+01 2.42734462e+00 4.57382691e+01 0.00000000e+00 0.0000e+00 -1.0000e+00
<rwgt>
<wgt id='1'> 1.4856e+03</wgt>
<wgt id='2'> 1.4847e+03</wgt>
<wgt id='3'> 1.4847e+03</wgt>
<wgt id='4'> 1.2781e+03</wgt>
<wgt id='5'> 1.4856e+03</wgt>
<wgt id='6'> 1.6782e+03</wgt>
<wgt id='7'> 1.6774e+03</wgt>
<wgt id='8'> 1.6774e+03</wgt>
<wgt id='9'> 1.4847e+03</wgt>
<wgt id='10'> 1.6782e+03</wgt>
<wgt id='11'> 1.8560e+03</wgt>
<wgt id='12'> 1.8552e+03</wgt>
<wgt id='13'> 1.8552e+03</wgt>
<wgt id='14'> 1.6774e+03</wgt>
<wgt id='15'> 1.8560e+03</wgt>
<wgt id='16'> 1.4856e+03</wgt>
<wgt id='17'> 1.4847e+03</wgt>
<wgt id='18'> 1.4847e+03</wgt>
<wgt id='19'> 1.2781e+03</wgt>
<wgt id='20'> 1.4856e+03</wgt>
<wgt id='21'> 1.6774e+03</wgt>
<wgt id='22'> 1.6774e+03</wgt>
<wgt id='23'> 1.4847e+03</wgt>
<wgt id='24'> 1.6782e+03</wgt>
<wgt id='25'> 1.8560e+03</wgt>
<wgt id='26'> 1.8552e+03</wgt>
<wgt id='27'> 1.8552e+03</wgt>
<wgt id='28'> 1.6774e+03</wgt>
<wgt id='29'> 1.8560e+03</wgt>
<wgt id='30'> 1.4856e+03</wgt>
<wgt id='31'> 1.4847e+03</wgt>
<wgt id='32'> 1.4847e+03</wgt>
<wgt id='33'> 1.2781e+03</wgt>
<wgt id='34'> 1.4856e+03</wgt>
<wgt id='35'> 1.6782e+03</wgt>
<wgt id='36'> 1.6774e+03</wgt>
<wgt id='37'> 1.6774e+03</wgt>
<wgt id='38'> 1.4847e+03</wgt>
<wgt id='39'> 1.6782e+03</wgt>
<wgt id='40'> 1.8560e+03</wgt>
<wgt id='41'> 1.8552e+03</wgt>
<wgt id='42'> 1.8552e+03</wgt>
<wgt id='43'> 1.6774e+03</wgt>
<wgt id='44'> 1.8560e+03</wgt>
<wgt id='45'> 1.6782e+03</wgt>
<wgt id='46'> 1.6429e+03</wgt>
<wgt id='47'> 1.6468e+03</wgt>
<wgt id='48'> 1.6162e+03</wgt>
<wgt id='49'> 1.6130e+03</wgt>
<wgt id='50'> 1.6856e+03</wgt>
<wgt id='51'> 1.6179e+03</wgt>
<wgt id='52'> 1.6689e+03</wgt>
<wgt id='53'> 1.7848e+03</wgt>
<wgt id='54'> 1.6704e+03</wgt>
<wgt id='55'> 1.6646e+03</wgt>
<wgt id='56'> 1.8328e+03</wgt>
<wgt id='57'> 1.5622e+03</wgt>
<wgt id='58'> 1.7942e+03</wgt>
<wgt id='59'> 1.5703e+03</wgt>
<wgt id='60'> 1.6517e+03</wgt>
<wgt id='61'> 1.7496e+03</wgt>
<wgt id='62'> 1.6967e+03</wgt>
<wgt id='63'> 1.7457e+03</wgt>
<wgt id='64'> 1.7115e+03</wgt>
<wgt id='65'> 1.7416e+03</wgt>
<wgt id='66'> 1.6420e+03</wgt>
<wgt id='67'> 1.7201e+03</wgt>
<wgt id='68'> 1.5384e+03</wgt>
<wgt id='69'> 1.5973e+03</wgt>
<wgt id='70'> 1.7240e+03</wgt>
<wgt id='71'> 1.6539e+03</wgt>
<wgt id='72'> 1.6980e+03</wgt>
<wgt id='73'> 1.7167e+03</wgt>
<wgt id='74'> 1.6108e+03</wgt>
<wgt id='75'> 1.6938e+03</wgt>
<wgt id='76'> 1.7726e+03</wgt>
<wgt id='77'> 1.7171e+03</wgt>
<wgt id='78'> 1.7419e+03</wgt>
<wgt id='79'> 1.7235e+03</wgt>
<wgt id='80'> 1.7931e+03</wgt>
<wgt id='81'> 1.7104e+03</wgt>
<wgt id='82'> 1.7226e+03</wgt>
<wgt id='83'> 1.5645e+03</wgt>
<wgt id='84'> 1.6474e+03</wgt>
<wgt id='85'> 1.7408e+03</wgt>
<wgt id='86'> 1.7017e+03</wgt>
<wgt id='87'> 1.7299e+03</wgt>
<wgt id='88'> 1.6401e+03</wgt>
<wgt id='89'> 1.6868e+03</wgt>
<wgt id='90'> 1.8030e+03</wgt>
<wgt id='91'> 1.5299e+03</wgt>
<wgt id='92'> 1.6931e+03</wgt>
<wgt id='93'> 1.6550e+03</wgt>
<wgt id='94'> 1.7837e+03</wgt>
<wgt id='95'> 1.6653e+03</wgt>
<wgt id='96'> 1.6500e+03</wgt>
<wgt id='97'> 1.7732e+03</wgt>
<wgt id='98'> 1.6635e+03</wgt>
<wgt id='99'> 1.7852e+03</wgt>
<wgt id='100'> 1.6770e+03</wgt>
<wgt id='101'> 1.5004e+03</wgt>
<wgt id='102'> 1.5982e+03</wgt>
<wgt id='103'> 1.6108e+03</wgt>
<wgt id='104'> 1.5672e+03</wgt>
<wgt id='105'> 1.7089e+03</wgt>
<wgt id='106'> 1.7370e+03</wgt>
<wgt id='107'> 1.7035e+03</wgt>
<wgt id='108'> 1.7673e+03</wgt>
<wgt id='109'> 1.7298e+03</wgt>
<wgt id='110'> 1.7556e+03</wgt>
<wgt id='111'> 1.7264e+03</wgt>
<wgt id='112'> 1.6840e+03</wgt>
<wgt id='113'> 1.6705e+03</wgt>
<wgt id='114'> 1.6938e+03</wgt>
<wgt id='115'> 1.6859e+03</wgt>
<wgt id='116'> 1.5958e+03</wgt>
<wgt id='117'> 1.6275e+03</wgt>
<wgt id='118'> 1.6093e+03</wgt>
<wgt id='119'> 1.7016e+03</wgt>
<wgt id='120'> 1.6733e+03</wgt>
<wgt id='121'> 1.6883e+03</wgt>
<wgt id='122'> 1.6874e+03</wgt>
<wgt id='123'> 1.7999e+03</wgt>
<wgt id='124'> 1.5355e+03</wgt>
<wgt id='125'> 1.5223e+03</wgt>
<wgt id='126'> 1.7132e+03</wgt>
<wgt id='127'> 1.7204e+03</wgt>
<wgt id='128'> 1.6315e+03</wgt>
<wgt id='129'> 1.6846e+03</wgt>
<wgt id='130'> 1.5239e+03</wgt>
<wgt id='131'> 1.7031e+03</wgt>
<wgt id='132'> 1.5787e+03</wgt>
<wgt id='133'> 1.7015e+03</wgt>
<wgt id='134'> 1.6418e+03</wgt>
<wgt id='135'> 1.6290e+03</wgt>
<wgt id='136'> 1.7311e+03</wgt>
<wgt id='137'> 1.6709e+03</wgt>
<wgt id='138'> 1.5711e+03</wgt>
<wgt id='139'> 1.6856e+03</wgt>
<wgt id='140'> 1.6782e+03</wgt>
<wgt id='141'> 1.6651e+03</wgt>
<wgt id='142'> 1.7950e+03</wgt>
<wgt id='143'> 1.7211e+03</wgt>
<wgt id='144'> 1.7342e+03</wgt>
<wgt id='145'> 1.6896e+03</wgt>
</rwgt>
</event>
<event>
4 1 1.6782100000e+03 9.4862500000e+01 7.5467710000e-03 1.2914860000e-01
2 -1 0 0 501 0 0.00000000e+00 0.00000000e+00 1.87598540e+02 1.87598540e+02 0.00000000e+00 0.0000e+00 1.0000e+00
-2 -1 0 0 0 501 -0.00000000e+00 -0.00000000e+00 -1.19922238e+01 1.19922238e+01 0.00000000e+00 0.0000e+00 -1.0000e+00
-11 1 1 2 0 0 -1.95431649e+01 -3.60928948e+01 3.77875936e+01 5.57900940e+01 0.00000000e+00 0.0000e+00 -1.0000e+00
11 1 1 2 0 0 1.95431649e+01 3.60928948e+01 1.37818723e+02 1.43800670e+02 0.00000000e+00 0.0000e+00 1.0000e+00
<rwgt>
<wgt id='1'> 1.4853e+03</wgt>
<wgt id='2'> 1.4434e+03</wgt>
<wgt id='3'> 1.4434e+03</wgt>
<wgt id='4'> 1.2349e+03</wgt>
<wgt id='5'> 1.4853e+03</wgt>
<wgt id='6'> 1.6782e+03</wgt>
<wgt id='7'> 1.6391e+03</wgt>
<wgt id='8'> 1.6391e+03</wgt>
<wgt id='9'> 1.4434e+03</wgt>
<wgt id='10'> 1.6782e+03</wgt>
<wgt id='11'> 1.8570e+03</wgt>
<wgt id='12'> 1.8209e+03</wgt>
<wgt id='13'> 1.8209e+03</wgt>
<wgt id='14'> 1.6391e+03</wgt>
<wgt id='15'> 1.8570e+03</wgt>
<wgt id='16'> 1.4853e+03</wgt>
<wgt id='17'> 1.4434e+03</wgt>
<wgt id='18'> 1.4434e+03</wgt>
<wgt id='19'> 1.2349e+03</wgt>
<wgt id='20'> 1.4853e+03</wgt>
<wgt id='21'> 1.6391e+03</wgt>
<wgt id='22'> 1.6391e+03</wgt>
<wgt id='23'> 1.4434e+03</wgt>
<wgt id='24'> 1.6782e+03</wgt>
<wgt id='25'> 1.8570e+03</wgt>
<wgt id='26'> 1.8209e+03</wgt>
<wgt id='27'> 1.8209e+03</wgt>
<wgt id='28'> 1.6391e+03</wgt>
<wgt id='29'> 1.8570e+03</wgt>
<wgt id='30'> 1.4853e+03</wgt>
<wgt id='31'> 1.4434e+03</wgt>
<wgt id='32'> 1.4434e+03</wgt>
<wgt id='33'> 1.2349e+03</wgt>
<wgt id='34'> 1.4853e+03</wgt>
<wgt id='35'> 1.6782e+03</wgt>
<wgt id='36'> 1.6391e+03</wgt>
<wgt id='37'> 1.6391e+03</wgt>
<wgt id='38'> 1.4434e+03</wgt>
<wgt id='39'> 1.6782e+03</wgt>
<wgt id='40'> 1.8570e+03</wgt>
<wgt id='41'> 1.8209e+03</wgt>
<wgt id='42'> 1.8209e+03</wgt>
<wgt id='43'> 1.6391e+03</wgt>
<wgt id='44'> 1.8570e+03</wgt>
<wgt id='45'> 1.6782e+03</wgt>
<wgt id='46'> 1.6499e+03</wgt>
<wgt id='47'> 1.6066e+03</wgt>
<wgt id='48'> 1.6708e+03</wgt>
<wgt id='49'> 1.6574e+03</wgt>
<wgt id='50'> 1.6404e+03</wgt>
<wgt id='51'> 1.6968e+03</wgt>
<wgt id='52'> 1.5766e+03</wgt>
<wgt id='53'> 1.7301e+03</wgt>
<wgt id='54'> 1.6813e+03</wgt>
<wgt id='55'> 1.6864e+03</wgt>
<wgt id='56'> 1.7276e+03</wgt>
<wgt id='57'> 1.6457e+03</wgt>
<wgt id='58'> 1.7422e+03</wgt>
<wgt id='59'> 1.6643e+03</wgt>
<wgt id='60'> 1.7046e+03</wgt>
<wgt id='61'> 1.7812e+03</wgt>
<wgt id='62'> 1.7269e+03</wgt>
<wgt id='63'> 1.6793e+03</wgt>
<wgt id='64'> 1.7117e+03</wgt>
<wgt id='65'> 1.6415e+03</wgt>
<wgt id='66'> 1.7508e+03</wgt>
<wgt id='67'> 1.6613e+03</wgt>
<wgt id='68'> 1.5098e+03</wgt>
<wgt id='69'> 1.6033e+03</wgt>
<wgt id='70'> 1.6635e+03</wgt>
<wgt id='71'> 1.7519e+03</wgt>
<wgt id='72'> 1.7578e+03</wgt>
<wgt id='73'> 1.7314e+03</wgt>
<wgt id='74'> 1.6045e+03</wgt>
<wgt id='75'> 1.5908e+03</wgt>
<wgt id='76'> 1.7609e+03</wgt>
<wgt id='77'> 1.7125e+03</wgt>
<wgt id='78'> 1.7523e+03</wgt>
<wgt id='79'> 1.7188e+03</wgt>
<wgt id='80'> 1.7395e+03</wgt>
<wgt id='81'> 1.6576e+03</wgt>
<wgt id='82'> 1.7401e+03</wgt>
<wgt id='83'> 1.5894e+03</wgt>
<wgt id='84'> 1.6494e+03</wgt>
<wgt id='85'> 1.6464e+03</wgt>
<wgt id='86'> 1.6246e+03</wgt>
<wgt id='87'> 1.7022e+03</wgt>
<wgt id='88'> 1.6742e+03</wgt>
<wgt id='89'> 1.6311e+03</wgt>
<wgt id='90'> 1.6913e+03</wgt>
<wgt id='91'> 1.6360e+03</wgt>
<wgt id='92'> 1.7300e+03</wgt>
<wgt id='93'> 1.6052e+03</wgt>
<wgt id='94'> 1.6524e+03</wgt>
<wgt id='95'> 1.6642e+03</wgt>
<wgt id='96'> 1.6335e+03</wgt>
<wgt id='97'> 1.7074e+03</wgt>
<wgt id='98'> 1.6903e+03</wgt>
<wgt id='99'> 1.7843e+03</wgt>
<wgt id='100'> 1.7860e+03</wgt>
<wgt id='101'> 1.5502e+03</wgt>
<wgt id='102'> 1.5893e+03</wgt>
<wgt id='103'> 1.5945e+03</wgt>
<wgt id='104'> 1.6666e+03</wgt>
<wgt id='105'> 1.6919e+03</wgt>
<wgt id='106'> 1.7579e+03</wgt>
<wgt id='107'> 1.7130e+03</wgt>
<wgt id='108'> 1.7634e+03</wgt>
<wgt id='109'> 1.7523e+03</wgt>
<wgt id='110'> 1.7510e+03</wgt>
<wgt id='111'> 1.7362e+03</wgt>
<wgt id='112'> 1.7321e+03</wgt>
<wgt id='113'> 1.6999e+03</wgt>
<wgt id='114'> 1.7430e+03</wgt>
<wgt id='115'> 1.6965e+03</wgt>
<wgt id='116'> 1.6589e+03</wgt>
<wgt id='117'> 1.6458e+03</wgt>
<wgt id='118'> 1.6210e+03</wgt>
<wgt id='119'> 1.6908e+03</wgt>
<wgt id='120'> 1.6696e+03</wgt>
<wgt id='121'> 1.7365e+03</wgt>
<wgt id='122'> 1.7383e+03</wgt>
<wgt id='123'> 1.7671e+03</wgt>
<wgt id='124'> 1.5845e+03</wgt>
<wgt id='125'> 1.5555e+03</wgt>
<wgt id='126'> 1.6596e+03</wgt>
<wgt id='127'> 1.6536e+03</wgt>
<wgt id='128'> 1.6854e+03</wgt>
<wgt id='129'> 1.6476e+03</wgt>
<wgt id='130'> 1.6182e+03</wgt>
<wgt id='131'> 1.6414e+03</wgt>
<wgt id='132'> 1.5937e+03</wgt>
<wgt id='133'> 1.6078e+03</wgt>
<wgt id='134'> 1.6649e+03</wgt>
<wgt id='135'> 1.6722e+03</wgt>
<wgt id='136'> 1.6840e+03</wgt>
<wgt id='137'> 1.7125e+03</wgt>
<wgt id='138'> 1.6588e+03</wgt>
<wgt id='139'> 1.5446e+03</wgt>
<wgt id='140'> 1.6702e+03</wgt>
<wgt id='141'> 1.6419e+03</wgt>
<wgt id='142'> 1.8054e+03</wgt>
<wgt id='143'> 1.7315e+03</wgt>
<wgt id='144'> 1.7515e+03</wgt>
<wgt id='145'> 1.6859e+03</wgt>
</rwgt>
</event>
</LesHouchesEvents>
plot(lhe_data)

# events were consumed so reload here
lhe_file = pylhe.read_lhe_file(lhe_data)
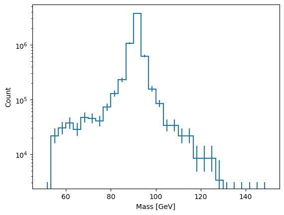
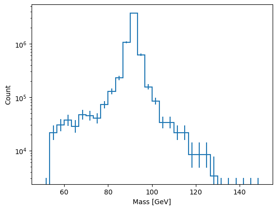
def filtered(events):
for e in events:
for p in e.particles:
# only keep Z bosons
if p.id == 23:
yield e
pylhe.write_lhe_file(lhe_file.init, filtered(lhe_file.events), "filtered.lhe.gz")
# continue with modified lhe, rivet, pythia ,...
plot("filtered.lhe.gz")
