Simple \(e^+e^- \to \mu^+ \mu^- \) Monte Carlo Event Generator example
Differential cross section: $$ \frac{d \sigma}{ d \Omega} = \frac{\alpha^2}{4 s } ( 1+ \cos^2(\theta)) $$
import math
import random
import hist
import numpy as np
import pylhe
alpha = 1 / 127.4 # alpha QED
aqcd = 0.1075 # alpha QCD
EB = 209
s = (2 * EB) ** 2
theta_min = 0
theta_max = math.pi
phi_min = 0
phi_max = 2 * math.pi
# https://equation-database.readthedocs.io/en/latest/_autosummary/equation_database.isbn_9780471887416.html#equation_database.isbn_9780471887416.equation_6_32
def dsigma(s, theta, _phi):
return (math.cos(theta) ** 2 + 1) / 4 * alpha**2 / s
# Monte Carlo integration
def monte_carlo_integration(
func, s, theta_min, theta_max, phi_min, phi_max, num_samples
):
theta_samples = [random.uniform(theta_min, theta_max) for _ in range(num_samples)]
phi_samples = [random.uniform(phi_min, phi_max) for _ in range(num_samples)]
func_values = [
(phi_max - phi_min)
* (theta_max - theta_min)
* func(s, theta, phi)
* math.sin(theta)
for theta, phi in zip(theta_samples, phi_samples)
]
maximum = np.max(func_values)
integral = np.mean(func_values)
return integral, maximum
# Parameters
num_samples = 1_000_000
# Perform integration
result, maximum = monte_carlo_integration(
dsigma, s, theta_min, theta_max, phi_min, phi_max, num_samples
)
print(f"Estimated integral: {result}")
# https://equation-database.readthedocs.io/en/latest/_autosummary/equation_database.isbn_9780471887416.html#equation_database.isbn_9780471887416.equation_6_33
sigma = 4 * math.pi / 3 * alpha**2 / s
print(f"Real integral: {sigma}")
Estimated integral: 1.4768119622917573e-09
Real integral: 1.477056777521761e-09
Weighted Events
The information about the distribution is carried by the weights of the events.
num_samples = 1_000_000
integ = 0.0
lheevents = []
for _i in range(num_samples):
theta = random.uniform(theta_min, theta_max)
phi = random.uniform(phi_min, phi_max)
sig = (
(phi_max - phi_min)
* (theta_max - theta_min)
* dsigma(s, theta, phi)
* math.sin(theta)
/ num_samples
)
integ += sig
# Fill the LHE event
e = pylhe.LHEEvent(
eventinfo=pylhe.LHEEventInfo(
nparticles=5,
pid=0,
weight=sig, # The individual weight per event
scale=s,
aqed=alpha,
aqcd=aqcd,
),
particles=[
pylhe.LHEParticle(
id=11,
status=-1,
mother1=0,
mother2=0,
color1=0,
color2=0,
px=0.0,
py=0.0,
pz=EB,
e=EB,
m=0.0,
lifetime=0,
spin=9.0,
),
pylhe.LHEParticle(
id=-11,
status=-1,
mother1=0,
mother2=0,
color1=0,
color2=0,
px=0.0,
py=0.0,
pz=-EB,
e=EB,
m=0.0,
lifetime=0,
spin=9.0,
),
pylhe.LHEParticle(
id=22,
status=2,
mother1=1,
mother2=2,
color1=0,
color2=0,
px=0.0,
py=0.0,
pz=EB - EB,
e=EB + EB,
m=0.0,
lifetime=0,
spin=9.0,
),
pylhe.LHEParticle(
id=13,
status=1,
mother1=3,
mother2=3,
color1=0,
color2=0,
px=EB * math.sin(theta) * math.cos(phi),
py=EB * math.sin(theta) * math.sin(phi),
pz=EB * math.cos(theta),
e=EB,
m=0,
lifetime=0,
spin=9.0,
),
pylhe.LHEParticle(
id=-13,
status=1,
mother1=3,
mother2=3,
color1=0,
color2=0,
px=-EB * math.sin(theta) * math.cos(phi),
py=-EB * math.sin(theta) * math.sin(phi),
pz=-EB * math.cos(theta),
e=EB,
m=0,
lifetime=0,
spin=9.0,
),
],
)
lheevents.append(e)
# Fill the LHE init
lheinit = pylhe.LHEInit(
initInfo=pylhe.LHEInitInfo(
beamA=11,
beamB=-11,
energyA=EB,
energyB=EB,
PDFgroupA=0,
PDFgroupB=0,
PDFsetA=0,
PDFsetB=0,
weightingStrategy=3,
numProcesses=1,
),
procInfo=[
pylhe.LHEProcInfo(
xSection=integ,
error=0,
unitWeight=1,
procId=1,
)
],
weightgroup={},
LHEVersion=3,
)
print(pylhe.write_lhe_string(lheinit, lheevents[0:3], rwgt=False, weights=False))
pylhe.write_lhe_file(
lheinit, lheevents, filepath="weighted.lhe.gz", rwgt=False, weights=False
)
<LesHouchesEvents version="3">
<init>
11 -11 2.0900000e+02 2.0900000e+02 0 0 0 0 3 1
1.4762645e-09 0.0000000e+00 1.0000000e+00 1
<initrwgt /></init>
<event>
5 0 9.2457885677e-16 1.7472400000e+05 7.8492935636e-03 1.0750000000e-01
11 -1 0 0 0 0 0.00000000e+00 0.00000000e+00 2.09000000e+02 2.09000000e+02 0.00000000e+00 0.0000e+00 9.0000e+00
-11 -1 0 0 0 0 0.00000000e+00 0.00000000e+00 -2.09000000e+02 2.09000000e+02 0.00000000e+00 0.0000e+00 9.0000e+00
22 2 1 2 0 0 0.00000000e+00 0.00000000e+00 0.00000000e+00 4.18000000e+02 0.00000000e+00 0.0000e+00 9.0000e+00
13 1 3 3 0 0 4.67080899e+01 -3.39212045e+01 2.00869874e+02 2.09000000e+02 0.00000000e+00 0.0000e+00 9.0000e+00
-13 1 3 3 0 0 -4.67080899e+01 3.39212045e+01 -2.00869874e+02 2.09000000e+02 0.00000000e+00 0.0000e+00 9.0000e+00
</event>
<event>
5 0 1.7027957887e-15 1.7472400000e+05 7.8492935636e-03 1.0750000000e-01
11 -1 0 0 0 0 0.00000000e+00 0.00000000e+00 2.09000000e+02 2.09000000e+02 0.00000000e+00 0.0000e+00 9.0000e+00
-11 -1 0 0 0 0 0.00000000e+00 0.00000000e+00 -2.09000000e+02 2.09000000e+02 0.00000000e+00 0.0000e+00 9.0000e+00
22 2 1 2 0 0 0.00000000e+00 0.00000000e+00 0.00000000e+00 4.18000000e+02 0.00000000e+00 0.0000e+00 9.0000e+00
13 1 3 3 0 0 -7.96359151e+01 9.52781316e+01 1.68110674e+02 2.09000000e+02 0.00000000e+00 0.0000e+00 9.0000e+00
-13 1 3 3 0 0 7.96359151e+01 -9.52781316e+01 -1.68110674e+02 2.09000000e+02 0.00000000e+00 0.0000e+00 9.0000e+00
</event>
<event>
5 0 1.8828113144e-15 1.7472400000e+05 7.8492935636e-03 1.0750000000e-01
11 -1 0 0 0 0 0.00000000e+00 0.00000000e+00 2.09000000e+02 2.09000000e+02 0.00000000e+00 0.0000e+00 9.0000e+00
-11 -1 0 0 0 0 0.00000000e+00 0.00000000e+00 -2.09000000e+02 2.09000000e+02 0.00000000e+00 0.0000e+00 9.0000e+00
22 2 1 2 0 0 0.00000000e+00 0.00000000e+00 0.00000000e+00 4.18000000e+02 0.00000000e+00 0.0000e+00 9.0000e+00
13 1 3 3 0 0 -8.08096458e+01 1.62441927e+02 1.03746911e+02 2.09000000e+02 0.00000000e+00 0.0000e+00 9.0000e+00
-13 1 3 3 0 0 8.08096458e+01 -1.62441927e+02 -1.03746911e+02 2.09000000e+02 0.00000000e+00 0.0000e+00 9.0000e+00
</event>
</LesHouchesEvents>
arr = pylhe.to_awkward(pylhe.read_lhe_with_attributes("weighted.lhe.gz"))
hist1 = hist.Hist.new.Reg(20, 0, math.pi).Weight()
hist1.fill(arr.particles.vector[:, -1].theta, weight=arr.eventinfo.weight)
Regular(20, 0, 3.14159, label='Axis 0')
Weight() Σ=WeightedSum(value=1.47626e-09, variance=2.45864e-24)
Weight() Σ=WeightedSum(value=1.47626e-09, variance=2.45864e-24)
hist1.plot()
[StairsArtists(stairs=<matplotlib.patches.StepPatch object at 0x7ff693cd41a0>, errorbar=<ErrorbarContainer object of 3 artists>, legend_artist=<ErrorbarContainer object of 3 artists>)]

Unweighted Events
The information about the distribution is carried by the distribution/number of the events.
num_samples = 1_000_000
integ = 0.0
lheevents = []
while len(lheevents) < num_samples:
theta = random.uniform(theta_min, theta_max)
phi = random.uniform(phi_min, phi_max)
sig = (
(phi_max - phi_min)
* (theta_max - theta_min)
* dsigma(s, theta, phi)
* math.sin(theta)
)
if sig / maximum > random.uniform(
0, 1
): # Pick events randomly according to their contribution
e = pylhe.LHEEvent(
eventinfo=pylhe.LHEEventInfo(
nparticles=5,
pid=0,
weight=result / num_samples, # The same weight per event
scale=s,
aqed=alpha,
aqcd=aqcd,
),
particles=[
pylhe.LHEParticle(
id=11,
status=-1,
mother1=0,
mother2=0,
color1=0,
color2=0,
px=0.0,
py=0.0,
pz=EB,
e=EB,
m=0.0,
lifetime=0,
spin=9.0,
),
pylhe.LHEParticle(
id=-11,
status=-1,
mother1=0,
mother2=0,
color1=0,
color2=0,
px=0.0,
py=0.0,
pz=-EB,
e=EB,
m=0.0,
lifetime=0,
spin=9.0,
),
pylhe.LHEParticle(
id=22,
status=2,
mother1=1,
mother2=2,
color1=0,
color2=0,
px=0.0,
py=0.0,
pz=EB - EB,
e=EB + EB,
m=0.0,
lifetime=0,
spin=9.0,
),
pylhe.LHEParticle(
id=13,
status=1,
mother1=3,
mother2=3,
color1=0,
color2=0,
px=EB * math.sin(theta) * math.cos(phi),
py=EB * math.sin(theta) * math.sin(phi),
pz=EB * math.cos(theta),
e=EB,
m=0,
lifetime=0,
spin=9.0,
),
pylhe.LHEParticle(
id=-13,
status=1,
mother1=3,
mother2=3,
color1=0,
color2=0,
px=-EB * math.sin(theta) * math.cos(phi),
py=-EB * math.sin(theta) * math.sin(phi),
pz=-EB * math.cos(theta),
e=EB,
m=0,
lifetime=0,
spin=9.0,
),
],
)
lheevents.append(e)
lheinit = pylhe.LHEInit(
initInfo=pylhe.LHEInitInfo(
beamA=11,
beamB=-11,
energyA=EB,
energyB=EB,
PDFgroupA=0,
PDFgroupB=0,
PDFsetA=0,
PDFsetB=0,
weightingStrategy=3,
numProcesses=1,
),
procInfo=[
pylhe.LHEProcInfo(
xSection=result,
error=0,
unitWeight=1,
procId=1,
)
],
weightgroup={},
LHEVersion=3,
)
print(pylhe.write_lhe_string(lheinit, lheevents[0:3], rwgt=False, weights=False))
pylhe.write_lhe_file(
lheinit, lheevents, filepath="unweighted.lhe", rwgt=False, weights=False
)
<LesHouchesEvents version="3">
<init>
11 -11 2.0900000e+02 2.0900000e+02 0 0 0 0 3 1
1.4768120e-09 0.0000000e+00 1.0000000e+00 1
<initrwgt /></init>
<event>
5 0 1.4768119623e-15 1.7472400000e+05 7.8492935636e-03 1.0750000000e-01
11 -1 0 0 0 0 0.00000000e+00 0.00000000e+00 2.09000000e+02 2.09000000e+02 0.00000000e+00 0.0000e+00 9.0000e+00
-11 -1 0 0 0 0 0.00000000e+00 0.00000000e+00 -2.09000000e+02 2.09000000e+02 0.00000000e+00 0.0000e+00 9.0000e+00
22 2 1 2 0 0 0.00000000e+00 0.00000000e+00 0.00000000e+00 4.18000000e+02 0.00000000e+00 0.0000e+00 9.0000e+00
13 1 3 3 0 0 -9.44407459e+01 9.93544418e+01 -1.57767679e+02 2.09000000e+02 0.00000000e+00 0.0000e+00 9.0000e+00
-13 1 3 3 0 0 9.44407459e+01 -9.93544418e+01 1.57767679e+02 2.09000000e+02 0.00000000e+00 0.0000e+00 9.0000e+00
</event>
<event>
5 0 1.4768119623e-15 1.7472400000e+05 7.8492935636e-03 1.0750000000e-01
11 -1 0 0 0 0 0.00000000e+00 0.00000000e+00 2.09000000e+02 2.09000000e+02 0.00000000e+00 0.0000e+00 9.0000e+00
-11 -1 0 0 0 0 0.00000000e+00 0.00000000e+00 -2.09000000e+02 2.09000000e+02 0.00000000e+00 0.0000e+00 9.0000e+00
22 2 1 2 0 0 0.00000000e+00 0.00000000e+00 0.00000000e+00 4.18000000e+02 0.00000000e+00 0.0000e+00 9.0000e+00
13 1 3 3 0 0 -7.33640881e+01 9.82644452e+00 1.95453707e+02 2.09000000e+02 0.00000000e+00 0.0000e+00 9.0000e+00
-13 1 3 3 0 0 7.33640881e+01 -9.82644452e+00 -1.95453707e+02 2.09000000e+02 0.00000000e+00 0.0000e+00 9.0000e+00
</event>
<event>
5 0 1.4768119623e-15 1.7472400000e+05 7.8492935636e-03 1.0750000000e-01
11 -1 0 0 0 0 0.00000000e+00 0.00000000e+00 2.09000000e+02 2.09000000e+02 0.00000000e+00 0.0000e+00 9.0000e+00
-11 -1 0 0 0 0 0.00000000e+00 0.00000000e+00 -2.09000000e+02 2.09000000e+02 0.00000000e+00 0.0000e+00 9.0000e+00
22 2 1 2 0 0 0.00000000e+00 0.00000000e+00 0.00000000e+00 4.18000000e+02 0.00000000e+00 0.0000e+00 9.0000e+00
13 1 3 3 0 0 -3.80705257e+01 -7.38942655e+01 -1.91758370e+02 2.09000000e+02 0.00000000e+00 0.0000e+00 9.0000e+00
-13 1 3 3 0 0 3.80705257e+01 7.38942655e+01 1.91758370e+02 2.09000000e+02 0.00000000e+00 0.0000e+00 9.0000e+00
</event>
</LesHouchesEvents>
arr = pylhe.to_awkward(pylhe.read_lhe_with_attributes("unweighted.lhe"))
hist2 = hist.Hist.new.Reg(20, 0, math.pi).Weight()
hist2.fill(arr.particles.vector[:, -1].theta, weight=arr.eventinfo.weight)
Regular(20, 0, 3.14159, label='Axis 0')
Weight() Σ=WeightedSum(value=1.47681e-09, variance=2.18097e-24)
Weight() Σ=WeightedSum(value=1.47681e-09, variance=2.18097e-24)
hist2.plot()
[StairsArtists(stairs=<matplotlib.patches.StepPatch object at 0x7ff6ac71fc50>, errorbar=<ErrorbarContainer object of 3 artists>, legend_artist=<ErrorbarContainer object of 3 artists>)]

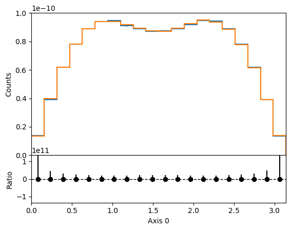
hist1.plot_ratio(hist2)
(([StairsArtists(stairs=<matplotlib.patches.StepPatch object at 0x7ff6ac6f8910>, errorbar=<ErrorbarContainer object of 3 artists>, legend_artist=<ErrorbarContainer object of 3 artists>)],
[StairsArtists(stairs=<matplotlib.patches.StepPatch object at 0x7ff6ac6f87d0>, errorbar=<ErrorbarContainer object of 3 artists>, legend_artist=<ErrorbarContainer object of 3 artists>)]),
RatioErrorbarArtists(line=<matplotlib.lines.Line2D object at 0x7ff6ac6f9450>, errorbar=<ErrorbarContainer object of 3 artists>))
