Awkward Example
import hist
import pylhe
# Use an example LHE file from package scikit-hep-testdata
from skhep_testdata import data_path
lhe_file = data_path("pylhe-drell-yan-ll-lhe.gz")
arr = pylhe.to_awkward(pylhe.read_lhe_with_attributes(lhe_file))
arr
[{eventinfo: {nparticles: 4, pid: 1, ...}, weights: {...}, particles: ..., ...}, {eventinfo: {nparticles: 5, pid: 1, ...}, weights: {...}, particles: ..., ...}, {eventinfo: {nparticles: 5, pid: 1, ...}, weights: {...}, particles: ..., ...}, {eventinfo: {nparticles: 4, pid: 1, ...}, weights: {...}, particles: ..., ...}, {eventinfo: {nparticles: 4, pid: 1, ...}, weights: {...}, particles: ..., ...}, {eventinfo: {nparticles: 4, pid: 1, ...}, weights: {...}, particles: ..., ...}, {eventinfo: {nparticles: 5, pid: 1, ...}, weights: {...}, particles: ..., ...}, {eventinfo: {nparticles: 4, pid: 1, ...}, weights: {...}, particles: ..., ...}, {eventinfo: {nparticles: 5, pid: 1, ...}, weights: {...}, particles: ..., ...}, {eventinfo: {nparticles: 4, pid: 1, ...}, weights: {...}, particles: ..., ...}, ..., {eventinfo: {nparticles: 4, pid: 1, ...}, weights: {...}, particles: ..., ...}, {eventinfo: {nparticles: 4, pid: 1, ...}, weights: {...}, particles: ..., ...}, {eventinfo: {nparticles: 4, pid: 1, ...}, weights: {...}, particles: ..., ...}, {eventinfo: {nparticles: 4, pid: 1, ...}, weights: {...}, particles: ..., ...}, {eventinfo: {nparticles: 5, pid: 1, ...}, weights: {...}, particles: ..., ...}, {eventinfo: {nparticles: 4, pid: 1, ...}, weights: {...}, particles: ..., ...}, {eventinfo: {nparticles: 4, pid: 1, ...}, weights: {...}, particles: ..., ...}, {eventinfo: {nparticles: 4, pid: 1, ...}, weights: {...}, particles: ..., ...}, {eventinfo: {nparticles: 5, pid: 1, ...}, weights: {...}, particles: ..., ...}] ------------------------------------------------------------------------------------------------------------------------------------------------------------------------------------------------------------------------------------------------------------------------------------------------------------------------------------------------------------------------------------------------------------------------------------------------------------------------------------------------------------------------------------------------------------------------------------------------------------------------------------------------------------------------------------------------------------------------------------------------------------------------------------------------------------------------------------------------------------------------------------------------------------------------------------------------------------------------------------------------------------------------------------------------------------------------------------------------------------------------------------------------------------------------------------------------------------------------------------------------------------------------------------------------------------------------------------------------------------------------------------------------------------------------------------------------------------------------------------------------------------------------------------------------------------------------------------------------------------------------------------------------------------------------------------------------------------------------------------------------------------------------------------------------------------------------------------------------------------------------------------------------------------------------------------------------------------------------------------------------------------------------------------------------------------------------------------------------------------------------------------------------------------------------------------------------------------------------------------------------------------------------------------------------------------------------------------------------------------------------------------------------------------------------------------------------------------------------------------------------------------------------------------------------------------------------------------------------------------------------------------------------------------------------------------------------------------------------------------------------------------------------------------------------------------------------------------------------------------------------------------------------------------------------------------------------------------------------------------------------------------------------------------------------------------------------------------------------------------------------------------------------------------------------------------------------------------------------------------------------------------------------------------------------------------------------------------------------------------------------------------------------------------------------------------------------------------------------------------------------------------------------------------------------------------------------------------------------------------------------------------------------------------------------------------------------------------------------------------------------------------------------------------------------------------------------------------------------------------------------------------------------------------------------------------------------------------------------------------------------------------------------------------------------------------------------------------------------------------------------------------------------------- backend: cpu nbytes: 16.7 MB type: 10000 * Event[ eventinfo: EventInfo[ nparticles: float64, pid: float64, weight: float64, scale: float64, aqed: float64, aqcd: float64 ], weights: Weights[ "1": float64, "2": float64, "3": float64, "4": float64, "5": float64, "6": float64, "7": float64, "8": float64, "9": float64, "10": float64, "11": float64, "12": float64, "13": float64, "14": float64, "15": float64, "16": float64, "17": float64, "18": float64, "19": float64, "20": float64, "21": float64, "22": float64, "23": float64, "24": float64, "25": float64, "26": float64, "27": float64, "28": float64, "29": float64, "30": float64, "31": float64, "32": float64, "33": float64, "34": float64, "35": float64, "36": float64, "37": float64, "38": float64, "39": float64, "40": float64, "41": float64, "42": float64, "43": float64, "44": float64, "45": float64, "46": float64, "47": float64, "48": float64, "49": float64, "50": float64, "51": float64, "52": float64, "53": float64, "54": float64, "55": float64, "56": float64, "57": float64, "58": float64, "59": float64, "60": float64, "61": float64, "62": float64, "63": float64, "64": float64, "65": float64, "66": float64, "67": float64, "68": float64, "69": float64, "70": float64, "71": float64, "72": float64, "73": float64, "74": float64, "75": float64, "76": float64, "77": float64, "78": float64, "79": float64, "80": float64, "81": float64, "82": float64, "83": float64, "84": float64, "85": float64, "86": float64, "87": float64, "88": float64, "89": float64, "90": float64, "91": float64, "92": float64, "93": float64, "94": float64, "95": float64, "96": float64, "97": float64, "98": float64, "99": float64, "100": float64, "101": float64, "102": float64, "103": float64, "104": float64, "105": float64, "106": float64, "107": float64, "108": float64, "109": float64, "110": float64, "111": float64, "112": float64, "113": float64, "114": float64, "115": float64, "116": float64, "117": float64, "118": float64, "119": float64, "120": float64, "121": float64, "122": float64, "123": float64, "124": float64, "125": float64, "126": float64, "127": float64, "128": float64, "129": float64, "130": float64, "131": float64, "132": float64, "133": float64, "134": float64, "135": float64, "136": float64, "137": float64, "138": float64, "139": float64, "140": float64, "141": float64, "142": float64, "143": float64, "144": float64, "145": float64 ], particles: var * Particle[ vector: Momentum4D[ px: float64, py: float64, pz: float64, e: float64 ], id: float64, status: float64, mother1: float64, mother2: float64, color1: float64, color2: float64, m: float64, lifetime: float64, spin: float64 ] ]
print(f"Number of events: {pylhe.read_num_events(lhe_file)}")
Number of events: 10000
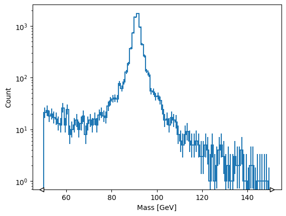
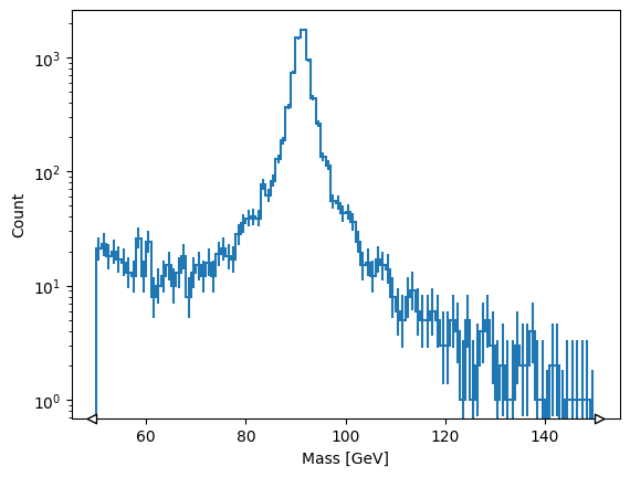
hist1 = hist.Hist.new.Reg(100, 50, 150).Int64()
hist1.fill((arr.particles.vector[:, -1] + arr.particles.vector[:, -2]).mass)
Regular(100, 50, 150, label='Axis 0')
Int64() Σ=7860.0 (10000.0 with flow)
Int64() Σ=7860.0 (10000.0 with flow)
artists = hist1.plot1d()
ax = artists[0].stairs.axes
ax.set_yscale("log")
ax.set_xlabel("Mass [GeV]")
ax.set_ylabel("Count");
